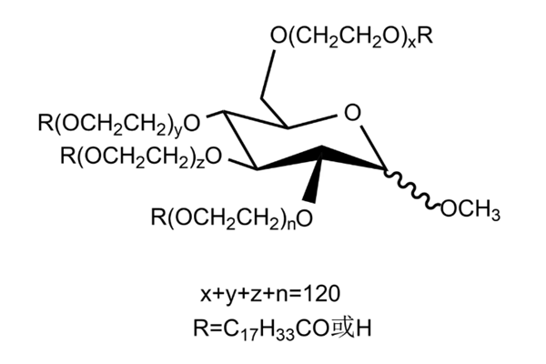
PEG-120甲基葡萄糖二油酸酯,INCI名PEG-120 METHYLGLUCOSEDIOLEATE,在《已使用化妆品原料名称目录(2021 版)》中有着专属序号00520,CAS号为86893-19-8。
PEG-120甲基葡萄糖二油酸酯一般是淡黄色片状、蜡状固体,建议使用时的水溶液PH值范围为4~9。

PEG-120甲基葡糖二油酸酯是一种天然葡萄糖衍生的,专用于洗发水,沐浴露,洗面奶,洗手液,儿童洗沐等产品。它对眼睛没有刺激性,也可显著降低其他表面活性剂对眼睛的刺激,与阳离子调理剂或者发用染料配伍,有出色的透明度和肤感,不影响泡沫性能,可与电解质协同增效; 在洗发水,洗面奶,沐浴露中使用AOS,AES钠盐,磺基琥珀酸酯盐、两性表面活性剂、氨基酸表活和茶皂素时具有良好的复配与增稠作用。
