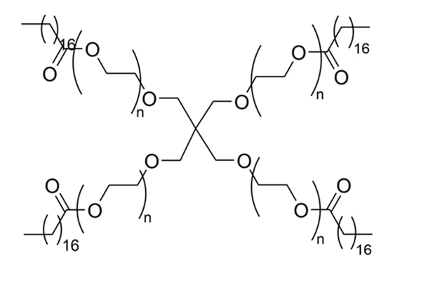
PEG-150季戊四醇四硬脂酸酯,INCI名为:PEG-150 PENTAERYTHRITYL TETRASTEARATE,在《已使用化妆品原料名称目录(2021版)》中可能对应序号00540,CAS号为130249-48-8。
PEG-150季戊四醇四硬脂酸酯是一款20世纪末才出现的比较新的化妆品原料,一般是白色蜡状物,能溶于水中,适用PH范围为5~9。
这款原料主要用于不含AES的氨基酸表活体系、氨基酸表活与茶皂素复合体系、不含AES的APG表活体系等不易增粘的情况,刺激性低,也可用于能够降低其他传统表面活性剂带来的潜在刺激性。可应用于护发素、洗发水、沐浴露、液体皂、洗面奶等产品。
推荐用量:淋洗类产品历史使用量不超过5.81%,驻留类产品历史使用量不超过1%。
